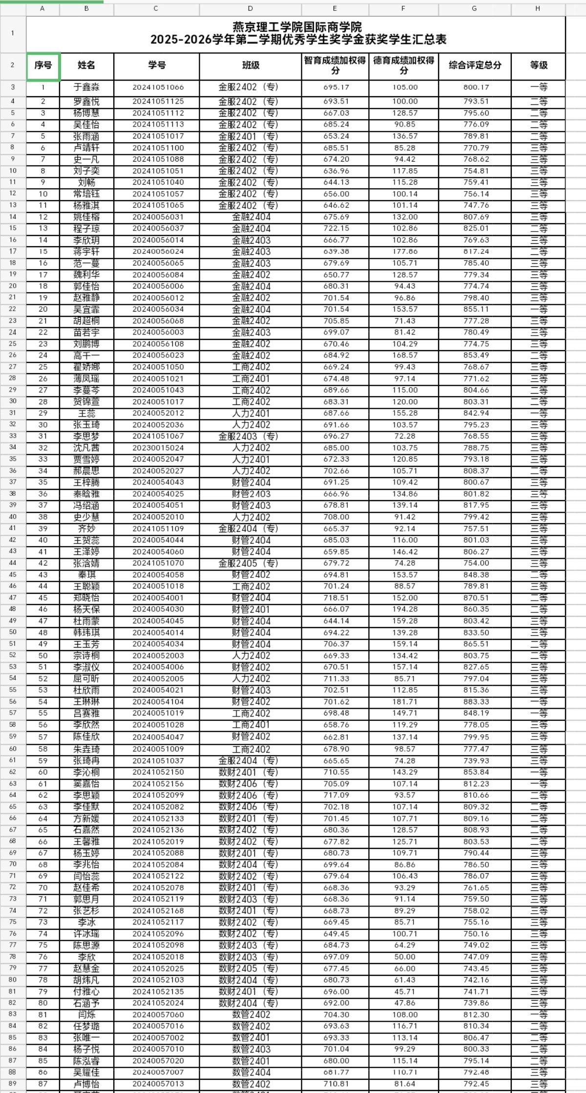
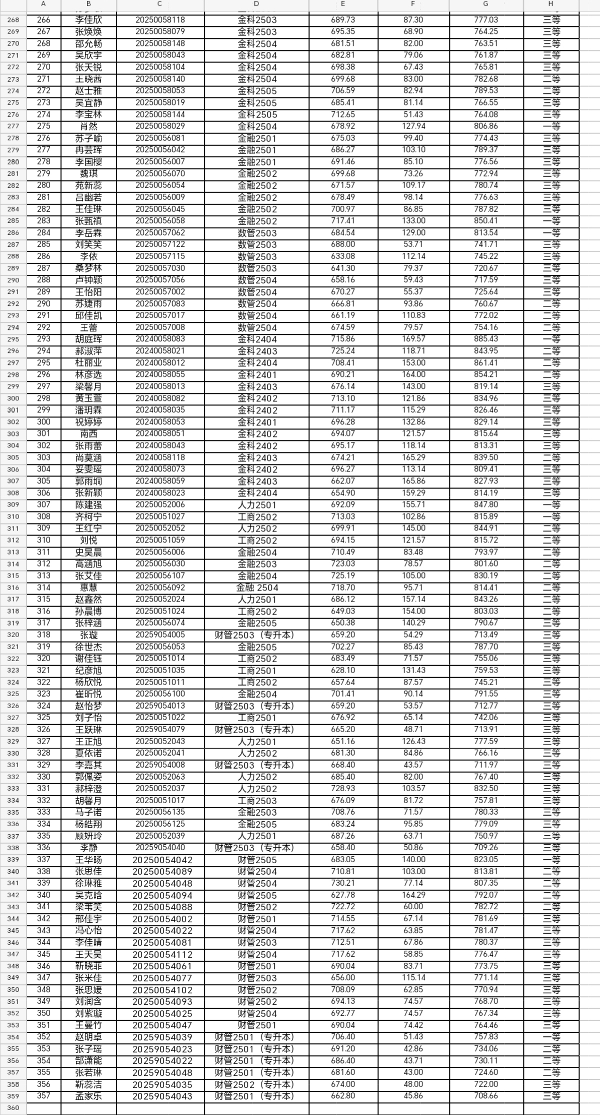
燕京理工学院国际商学院 2025-2026学年第一学期优秀学生奖学金初评结果公示
根据《燕京理工学院优秀学生奖学金评审办法》(试行)和燕京理工学院《关于开展2025-2026学年第一学期优秀学生奖学金评选工作的通知》的精神,我院组织开展了2025-2026学年第一学期优秀学生奖学金评定工作。 经学生本人申请,评审小组评定,学院审核,拟推荐金服2402(专)班于鑫淼等357人为2025-2026学年第一学期优秀学生奖学金获奖者。现将优秀学生奖学金获奖学生情况予以公示,请广大师生对公示情况进行监督。 公示地点:办公楼219公示栏 公示时间:2026年3月25日至3月31日 对评审结果有异议的同学请于公示期间内将情况反映至国际商学院。 联系人: 贾思博 电话:17732628448 联系人: 王超 电话:17716562668 国际商学院 2026年3月25日



